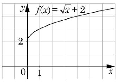
Задано функцію f(x) = x + 2.
1. Побудуйте графік функції f.
2. Знайдіть координати x0 і y0 точки перетину графіка функції f з прямою у = 3.
3. Обчисліть значення похідної функції f в точці х = x0.
4. Запишіть рівняння дотичної, проведеної до графіка функції f у точці з абсцисою x0.
Правильна відповідь
1.

2.
x0 = 1, y0 = 3
3.
f'(x0) = 0,5
4.
y = 0,5x + 2,5
